• Предмет: Математика
  • Автор: podlaginaelena
  • Вопрос задан 2 года назад

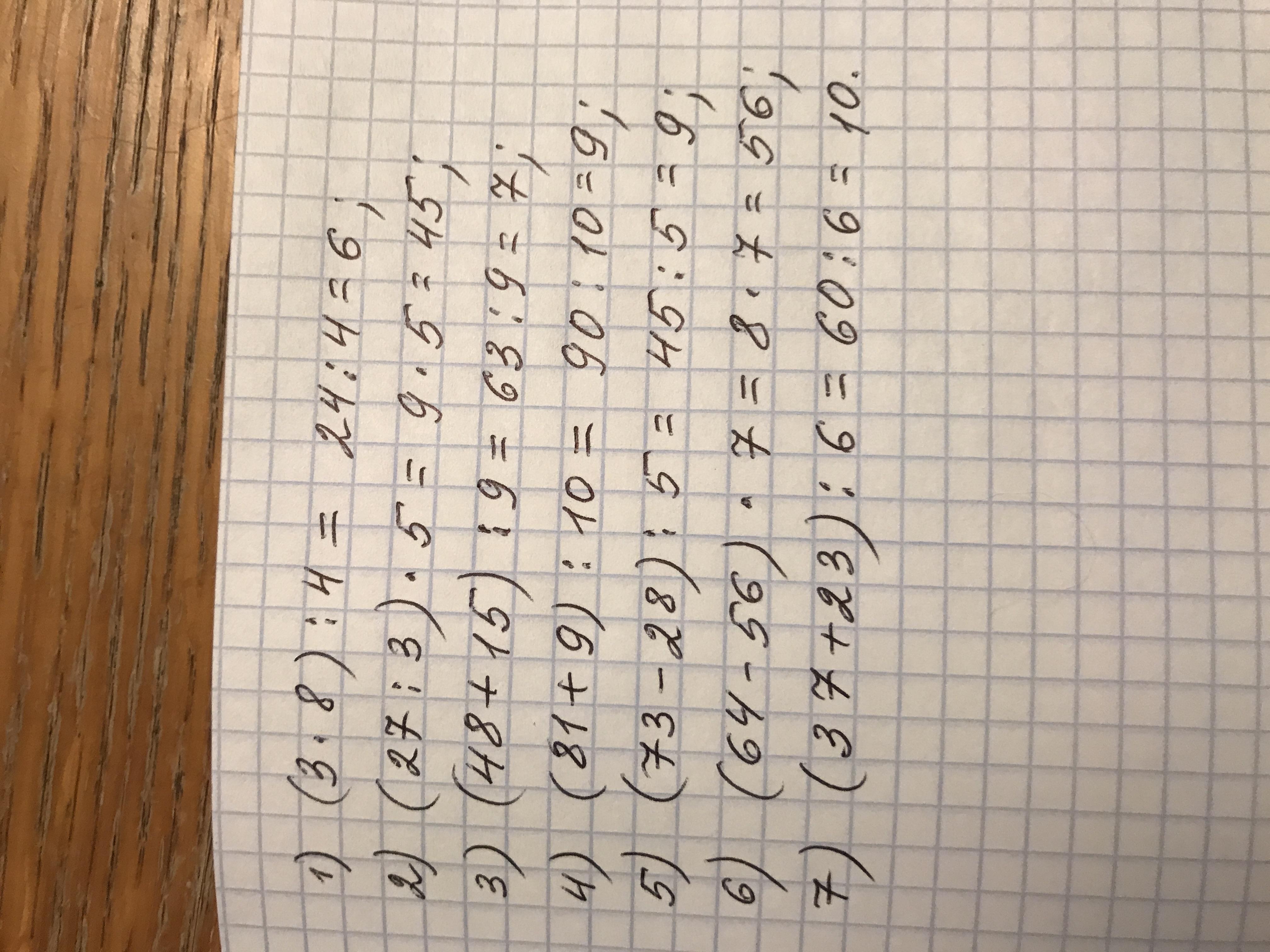
1) Произведение чисел 3 и 8 уменьши в 4 раза.2)Частное чисел 27 и 3 увеличь в 5 раз.3) Сумма чисел 48 и 15 уменьши в 9 раз .4) Сумму чисел 81 и 9 уменьши в 10 раз.5) Разность чисел 73 и 28 уменьши а 5 раз.6) Разность чисел 64 и 56 увеличь в 7 раз. 7)Сумму чисел 37 и 23 уменьши в 6 раз.​

Ответы

Ответ дал: hedggehog
4

1) (3×8)/4=6

2) (27/3)×5=45

3) (48+15)/9=7

4) (81+9)/10=9

5) (73-28)/5=9

6) (64-56)×7=56

7) (37+23)/6=10

Ответ дал: ins0209
1

Ответ:

1).6; 2).45; 3).7; 4).9; 5).9; 6).56; 7).10.

Пошаговое объяснение:

Во вложении.

Приложения:
Вас заинтересует