• Предмет: Алгебра
  • Автор: sraplahunovalisher
  • Вопрос задан 2 года назад


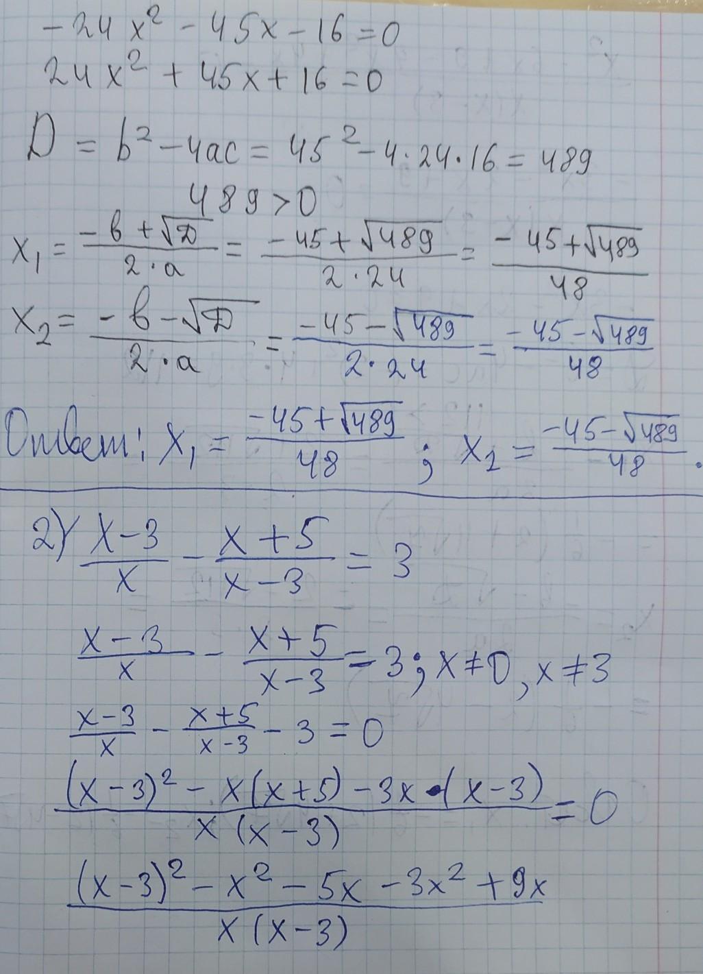
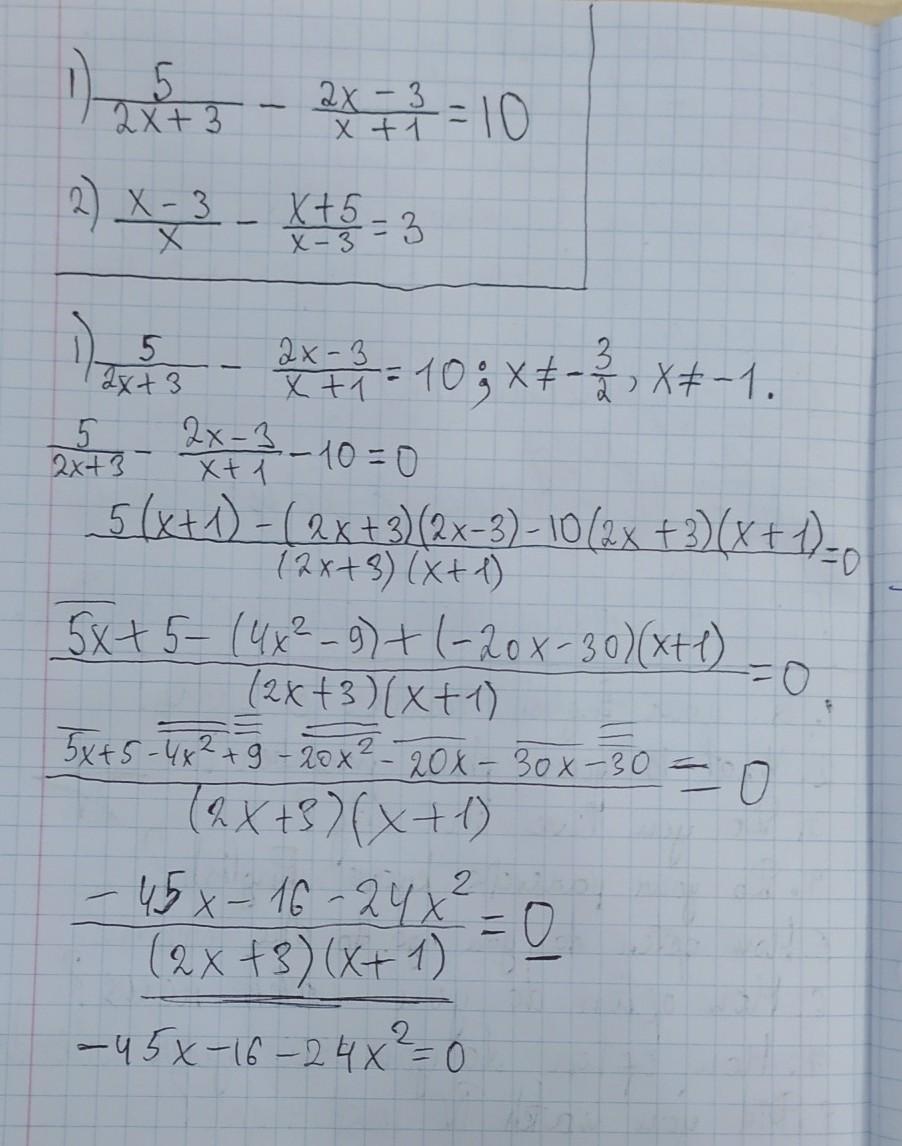
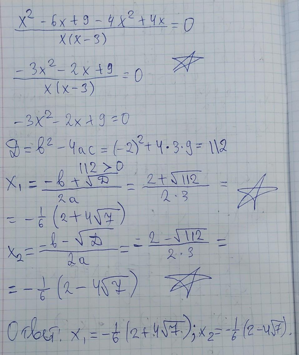
 1)\frac{5}{2x + 3}  -  \frac{2x - 3}{x + 1}  = 10 \\   2) \frac{x - 3}{x}  -  \frac{x + 5}{x - 3}  = 3
помогите плиз ​

Ответы

Ответ дал: Rahmann
2

Во вложении!

Уравнения получились огромными. Думаю, в условии ошибка.

Приложения:
Вас заинтересует