• Предмет: Алгебра
  • Автор: glebnezz
  • Вопрос задан 2 года назад

Помогите с 3 и 4, по возможности 5 ! Пж ! Это 8 класс, пишите каждый номер отдельным коментом плз

Приложения:

Ответы

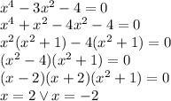
Ответ дал: amirbegov005
0

Ответ:

х^4-3х^2-4=0

x^2=t

t^2-3t-4=0

D=b^2-4ac=9+16=25

t1,2=(-b±√D)/2a=(3±5)/2

t1=4

t2=-1

x^2=4

x1=±2

t2=-1 =>t2=√-1 - побочное решение

Приложения:
Вас заинтересует