• Предмет: Физика
  • Автор: emilikuznec
  • Вопрос задан 2 года назад

ОЧЕНЬ ОЧЕЕЕЕНЬ СРОЧНО
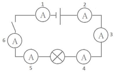
В цепь включены несколько амперметров.


При замкнутом ключе амперметр 1 показывает силу тока 3,4 А. Какую силу тока показывает амперметр 5?

Ответ: амперметр 5 показывает
А.

Приложения:

Ответы

Ответ дал: Dedagenn
30

Ответ:

амперметр 5 показывает 3.4А

Объяснение:

все амперметры соединены последовательно и должны показывать один и тот же ток

Вас заинтересует