• Предмет: Физика
  • Автор: mob0072
  • Вопрос задан 2 года назад

1)Точка совершает гармонические колебания. В некоторый момент времени смещение точки x= 5 см, её скорость 20 см/с, ускорение a= 80 м/с^2. Найти амплитуду, циклическую частоту, период колебаний и фазу колебаний в рассматриваемый момент времени.


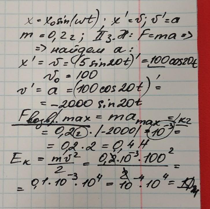
2)Материальная точка массой m= 0,2г совершает гармонические колебания, уравнение которых имеет вид: x= 5sin 20t см. Определить максимальные значения возвращающей силы и кинетической энергии точки.


Помогите, пожалуйста с решением.
Первую задачу решил

Ответы

Ответ дал: cactus951
1

Ответ:

на вторую задачу, как и просил: 0,4 Н; 1 Дж

Объяснение:

прикрепила картинку с решением

Приложения:
Вас заинтересует