• Предмет: Алгебра
  • Автор: vityamath
  • Вопрос задан 2 года назад

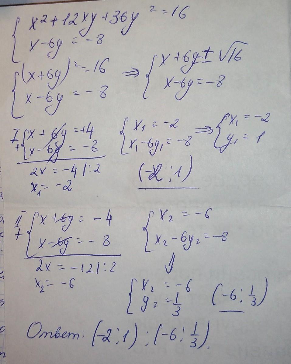
решите систему неравенств​

Приложения:

Ответы

Ответ дал: hhhhhhmnidrn
0

Ответ:

(-2;1);(-6;1/3), объяснение в фото

Приложения:
Вас заинтересует