• Предмет: Алгебра
  • Автор: Аноним
  • Вопрос задан 2 года назад

ПОМОГИТЕ ПОЖАЛУЙСТА!!!40 БАЛЛОВ!!!!
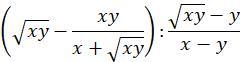
1).Спростіть вираз
(х > 0, у > 0) та обчисліть його значення при х = 20.
2).При якому значенні х правильна рівність:
3).Обчисліть значення виразу:

Приложения:

Ответы

Ответ дал: lidiasaraa3
9

.......................

Приложения:

EliseyIvanov02: Здравствуйте, вы разбираетесь в математике 10-11 кл.?
Ответ дал: terikovramazan
5

Ответ:приложено

Объяснение:

Приложения:
Вас заинтересует