• Предмет: Математика
  • Автор: Аноним
  • Вопрос задан 2 года назад

Помогите пожалуйста, с расписанием каждого действия

Приложения:

Ответы

Ответ дал: bertain
2

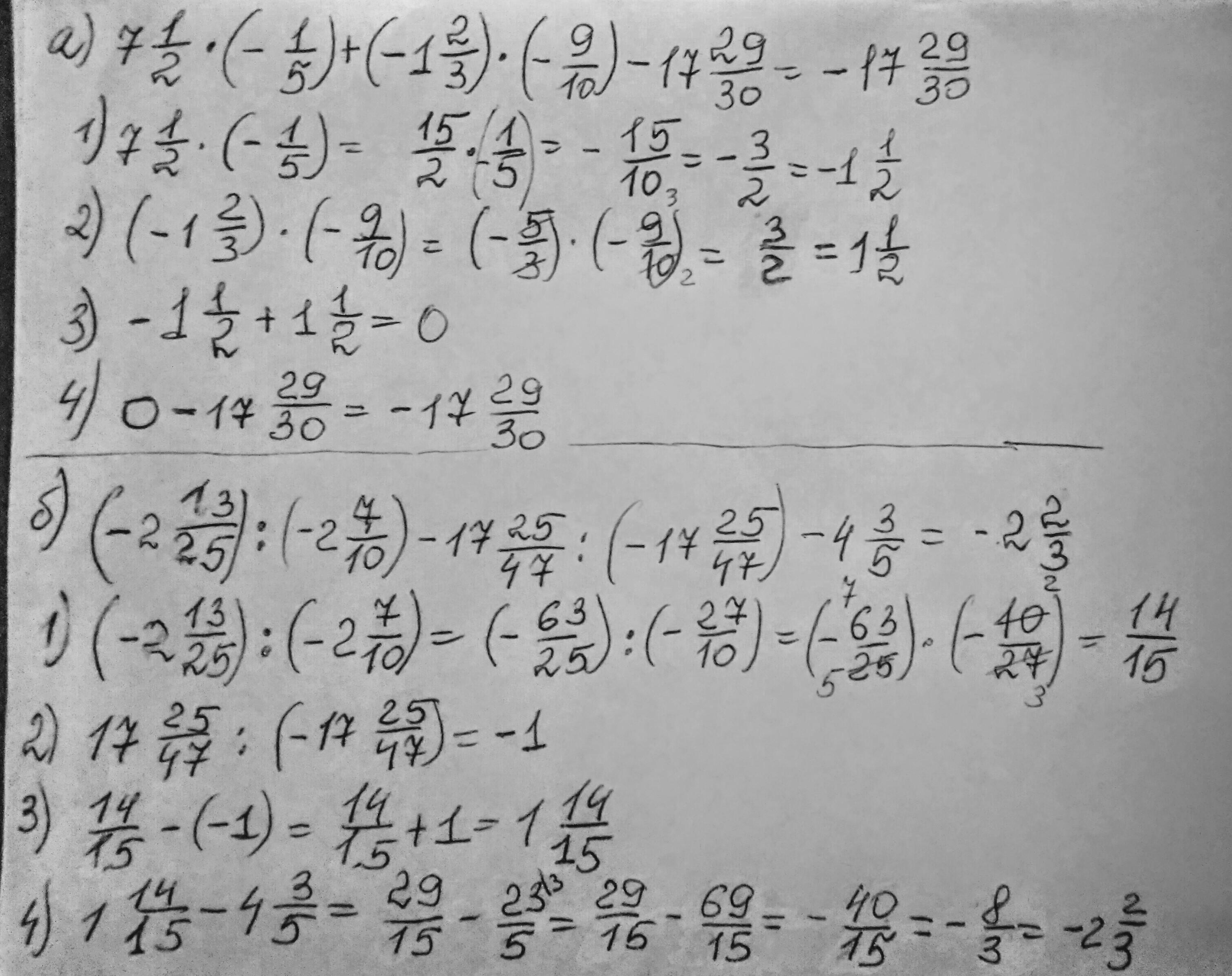
Решение на фотографии

Приложения:

Аноним: Спасибо большое!дажее не думала, что
Аноним: Кто то и прпада будет сидеть и решать жля меня дз! ♥️
bertain: Пожалуйста, рада помочь)
Аноним: Странно, поставили 2..:(
Аноним: Но все равно спс)
Аноним: Я уверена это правильно
Аноним: Это наверно потому что я в действиях писала ответ сразу же
Ответ дал: Аноним
0

Ответ: во вложении Пошаговое объяснение:

Приложения:
Вас заинтересует