• Предмет: Алгебра
  • Автор: Дарьюшкакрасавишка
  • Вопрос задан 11 лет назад

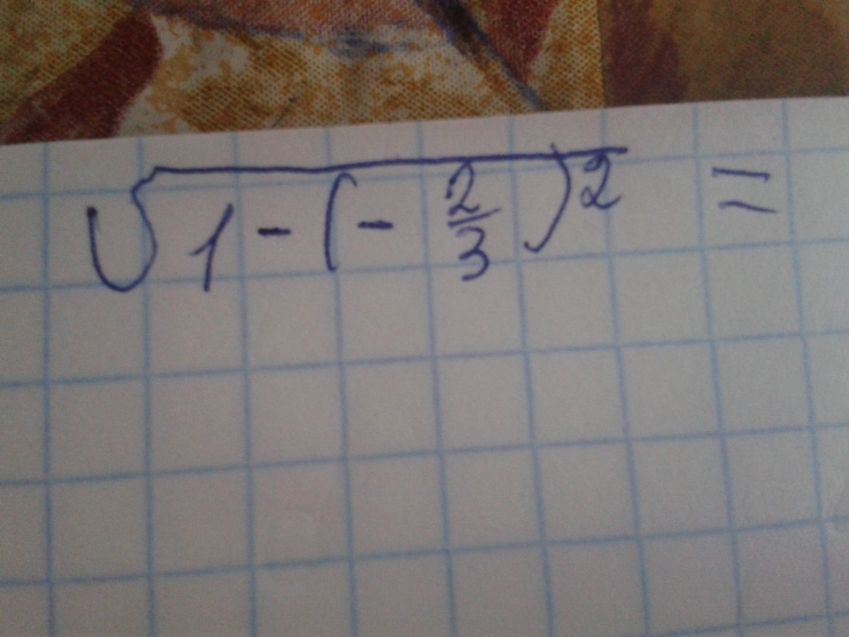
помогите =) решить )))

Приложения:

Ответы

Ответ дал: natashazelenkova
0
5/9
вроде бы

-2/3 в квадрате это 4/9,1-4/9,это 5/9
Ответ дал: MaximValishin
0
Корень из 1-(-2/3)^2 = корень из 1-4/9 = корень из 5/9
Вас заинтересует