• Предмет: Алгебра
  • Автор: Аноним
  • Вопрос задан 2 года назад

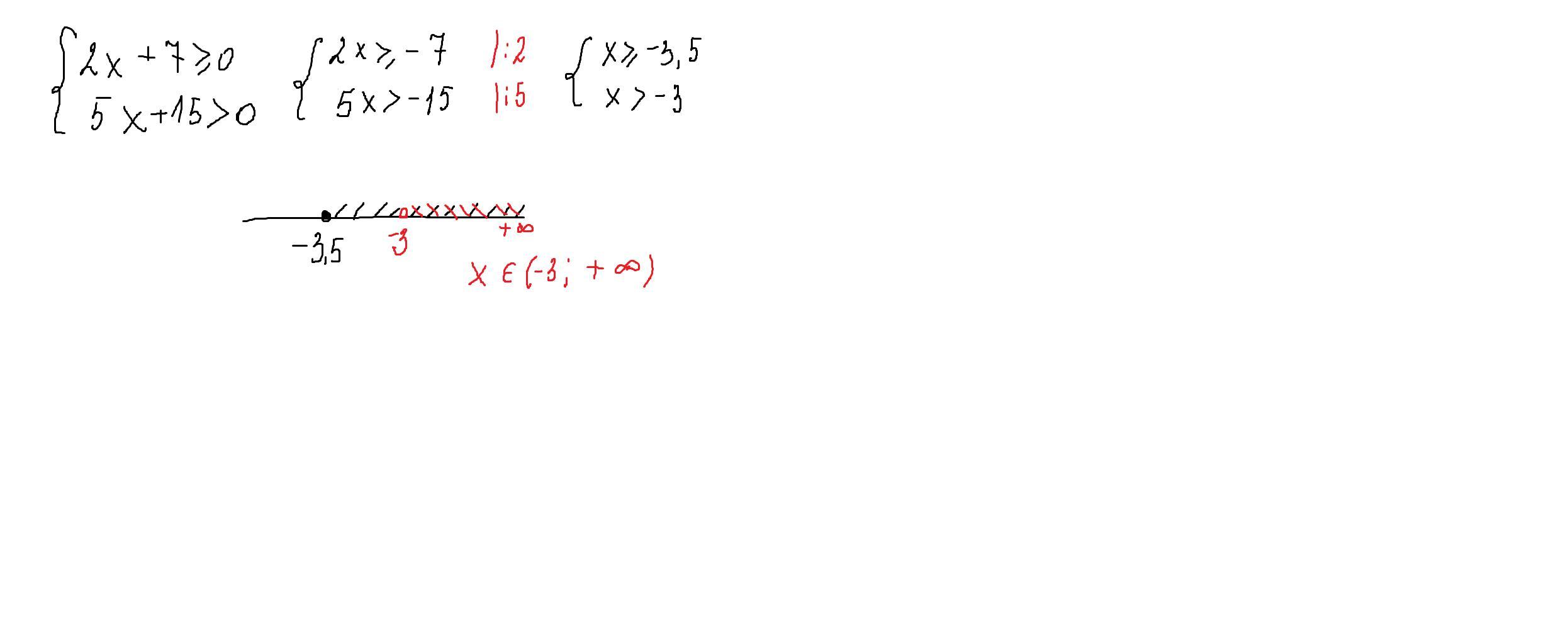
решите систему неравенств!​

Приложения:

Ответы

Ответ дал: parus77
1

Ответ:

х∈(-3;+∞)

Объяснение:

решение внизу

Приложения:
Вас заинтересует