!!СРОЧНО!!НЕРІВНОСТІ!!
1)(3x+1)(x-2)⩽6
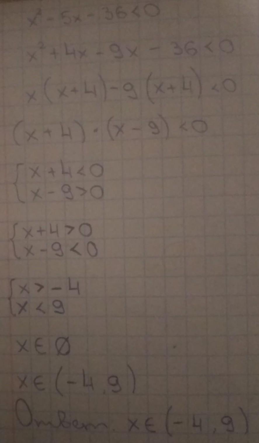
2)x2-5x-36 менше 0
3)-6x2+13x-5 більше 0 (усі цілі розв'язки)
Ответы
Ответ дал:
1
Ответ:
1) х [-1;8/3]
2)х (-4;9)
3)х (1/2;5/3)
вот 2 решения, 3 не успеваю зарядка подводит
Приложения:


alenakakulka53:
Спасибо, но можешь полностью "разжевать"? Если не сложно, буду очень благодарна
Вас заинтересует
1 год назад
1 год назад
1 год назад
3 года назад
8 лет назад