Ответы
                                            Ответ дал: 
                                                                                    
                                        
                                            
                                                
                                                
                                                
                                                    1
                                                
                                            
                                        
                                    Ответ:
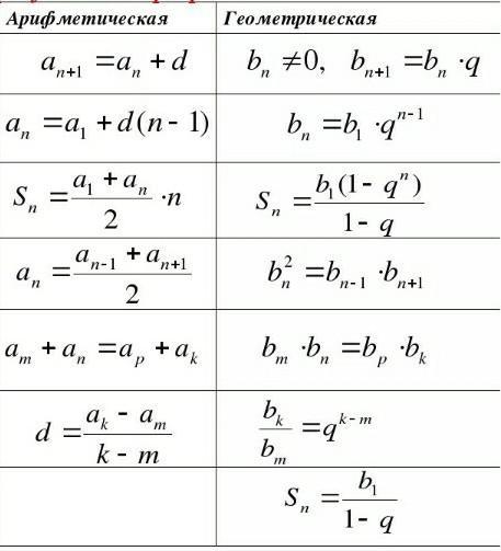
1) q = bn+1 / bn
2)bn = b1 ⋅ qn - 1
3)bn+1 = bn ⋅ q
4)bn = √bn-1 ⋅ bn+1, где n > 1
5)Sn = b1 ⋅ (1 — qn) / (1 — q), где q ≠ 1
6)Sn = (b1 — bn ⋅ q) / (1 — q), где q ≠ 1
7)bn+1 = bn ⋅ q
Объяснение:
И ещё фотография! я не уверен что все правильно так что не бейте сильно!
Приложения:
                    
                            
                            
                    wiahog1204:
                    Спасибо вам огромное!Но есть одно но мне нужно какая за что отвечает(
                
            
                    
                    легко
                
            
                    
                    А можете пояснить?Какая за что отвечает
                
            
                    
                    секунду
                
            
                    
                    ну я там еще фото добавил
                
            
                    
                    СПАСИБО!ВЫ ПРОСТО ЛУЧШИЙ!СЧАСТЬЯ ВАМ!
                
            
                    
                    Не зачто
                
            
                    
                    и вам спасибо
                
            Вас заинтересует
                
                        1 год назад
                    
                
                        1 год назад
                    
                
                        1 год назад
                    
                
                        3 года назад
                    
                
                        3 года назад
                    
                
                        8 лет назад