Ответы
Ответ дал:
6
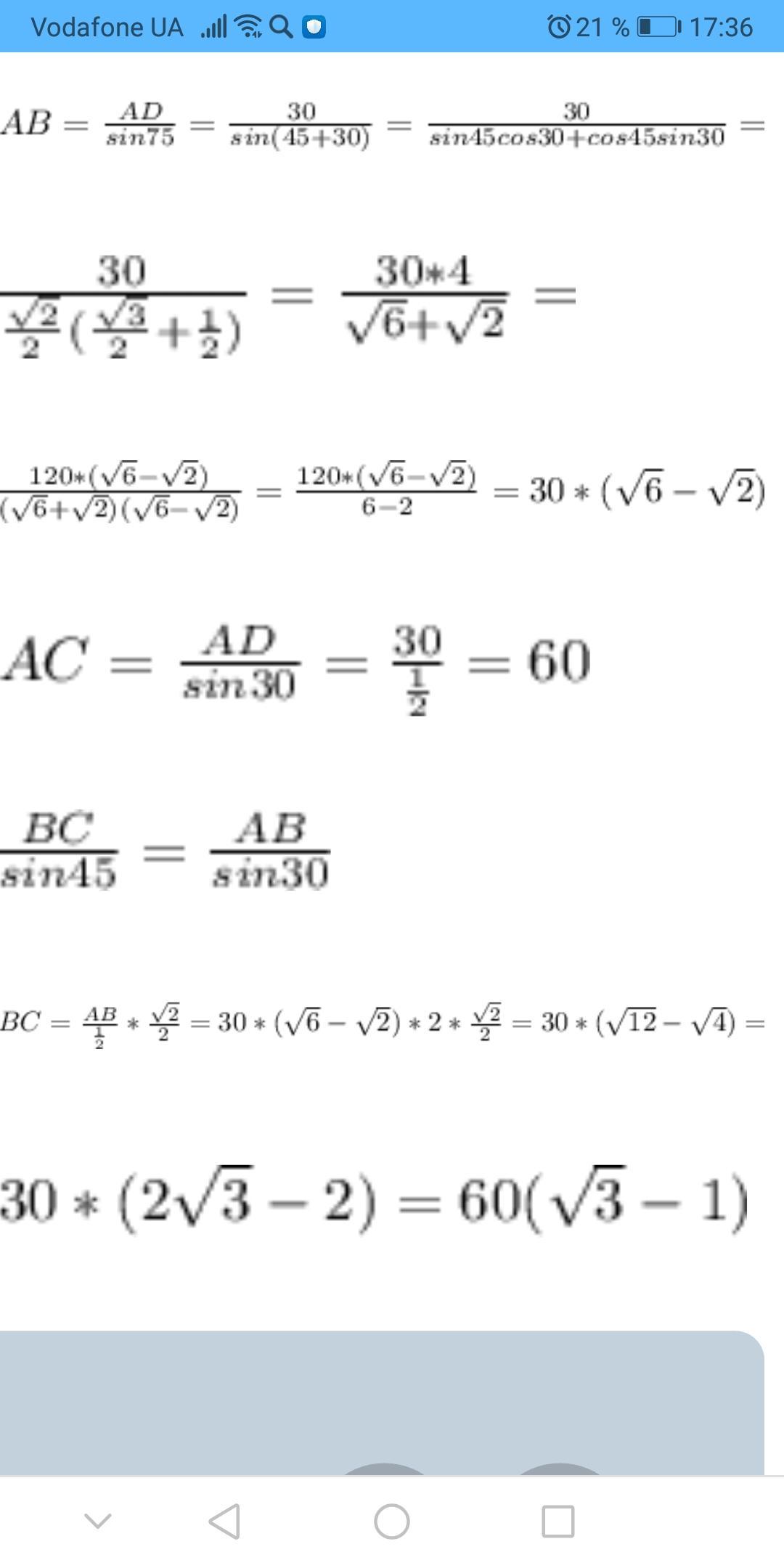
Ответ:скинула фото решения
Объяснение:
Приложения:


Вас заинтересует
1 год назад
1 год назад
3 года назад
3 года назад
8 лет назад
8 лет назад