• Предмет: Алгебра
  • Автор: Evgg1337
  • Вопрос задан 11 лет назад

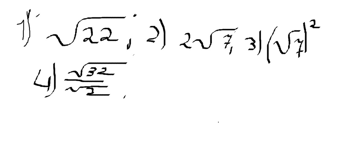
Укажите наибольшее из следущих чисел.

Приложения:

Ответы

Ответ дал: aee43
0
1)√22  2)√28  3)√49  4)√16 сравниваем корни и получаем,наибольшее число под цифрой 3
Ответ дал: donnab
0
Правильный ответ под чифрой 3
Вас заинтересует