Ответы
                                            Ответ дал: 
                                                                                            
                                                    
                                                
                                                                                    
                                        
                                            
                                                
                                                
                                                
                                                    0
                                                
                                            
                                        
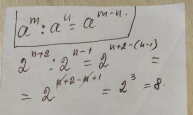
                                    Ответ: приложено
Объяснение:
Приложения:
                     
                            
                    flydytid53:
                    Спасибо,сам уже давно догадался)
                
            
                    
                    А что же спрашивал то?
                
            
                    
                    Тогда не знал)
                
            Вас заинтересует
                
                        1 год назад
                    
                
                        1 год назад
                    
                
                        1 год назад
                    
                
                        1 год назад
                    
                
                        3 года назад
                    
                
                        3 года назад
                    
                
                        8 лет назад