• Предмет: Математика
  • Автор: novopolcevalera
  • Вопрос задан 2 года назад

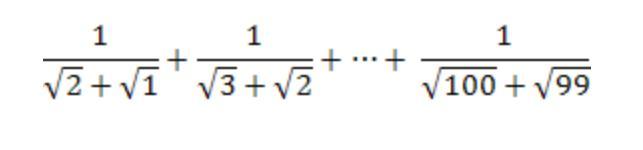
Помогите решить
Задание в закрепе
Можно без объяснения

Приложения:

Ответы

Ответ дал: ВяГаВа
0

Ответ:9. Можешь проверить, забив в онлайн калькулятор суммы ряда сумму от n=1...99, функции 1/(sqrt(n+1)+sqrt(n)).

Вас заинтересует