• Предмет: Математика
  • Автор: ЭмилиСтоун11
  • Вопрос задан 2 года назад

HELP Пожалуйста, помогите решить

Приложения:

Ответы

Ответ дал: nikebod313
1

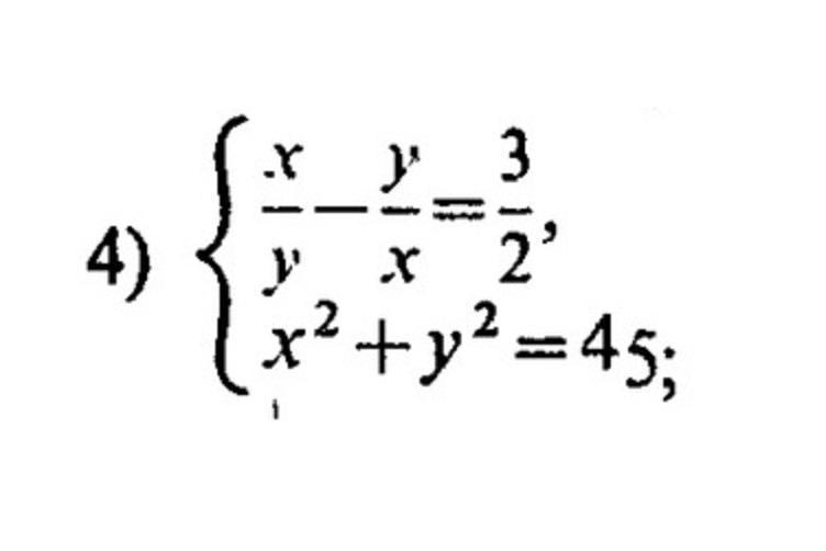
\left \{ {\bigg{\dfrac{x}{y} - \dfrac{y}{x} = \dfrac{3}{2} \ \ \ } \atop \bigg{x^{2} + y^{2} = 45}} \right.

Пусть \dfrac{x}{y} = t. Тогда \dfrac{y}{x} = \dfrac{1}{\dfrac{x}{y} } = \dfrac{1}{t} и первое уравнение примет вид:

t - \dfrac{1}{t} = \dfrac{3}{2}

Решим уравнение относительно t \neq 0

\dfrac{2t^{2} - 3t - 2}{t} = 0\\2t^{2} - 3t - 2 = 0\\t_{1} = -\dfrac{1}{2} \\t_{2} = 2

Обратная замена:

\left[\begin{array}{ccc}\left \{ {\bigg{\dfrac{x}{y} = -\dfrac{1}{2} \ \ \ \ \ \ } \atop \bigg{x^{2} + y^{2} = 45}}\\ \left \{ {\bigg{\dfrac{x}{y} = 2 \ \ \ \ \ \ \ \ } \atop \bigg{x^{2} + y^{2} = 45}} \\ \end{array}\right

\left[\begin{array}{ccc}\left \{ {\bigg{x = -\dfrac{y}{2} \ \ \ \ \ \ \ } \atop \bigg{x^{2} + y^{2} = 45}}\\ \left \{ {\bigg{x = 2y \ \ \ \ \ \ \ \ } \atop \bigg{x^{2} + y^{2} = 45}} \\ \end{array}\right

\left[\begin{array}{ccc}\left \{ {\bigg{x = -\dfrac{y}{2} \ \ \ \ \ \ \ \ \ \ \ \ \ \ } \atop \bigg{ \bigg(-\dfrac{y}{2} \bigg)^{2} + y^{2} = 45}}\\ \left \{ {\bigg{x = 2y \ \ \ \ \ \ \ \ \ \ } \atop \bigg{\ (2y)^{2} + y^{2} = 45}} \\ \end{array}\right

\left[\begin{array}{ccc}\left \{ {\bigg{x = -\dfrac{y}{2} \ \ \ \ \ \ \ \ } \atop \bigg{ \dfrac{y^{2}}{4} + y^{2} = 45}}\\ \left \{ {\bigg{x = 2y \ \ \ \ \ \ \ \ \ } \atop \bigg{4y^{2} + y^{2} = 45}} \\ \end{array}\right

\left[\begin{array}{ccc}\left \{ {\bigg{x = -\dfrac{y}{2} \ \ } \atop \bigg{ \dfrac{5y^{2}}{4} = 45}}\\ \left \{ {\bigg{x = 2y \ \ } \atop \bigg{5y^{2} = 45}} \\ \end{array}\right

\left[\begin{array}{ccc}\left \{ {\bigg{x = -\dfrac{y}{2} } \atop \bigg{ y^{2} = 36}}\\ \left \{ {\bigg{x = 2y } \atop \bigg{y^{2} = 9}} \\ \end{array}\right

\left[\begin{array}{ccc}\left \{ {\bigg{x = -\dfrac{y}{2} } \atop \bigg{ y = \pm 6}}\\ \left \{ {\bigg{x = 2y } \atop \bigg{y = \pm 3}} \\ \end{array}\right

Если y = 6, то x = -\dfrac{6}{2} = -3

Если y = -6, то x = -\dfrac{-6}{2} = 3

Если y = 3, то x = 2 \cdot 3 = 6

Если y = -3, то x = 2 \cdot (-3) = -6

Ответ: (-3; 6), \ (3; -6), \ (6; 3), \ (-6; - 3).


ЭмилиСтоун11: Спасибо огромное!))))
nikebod313: Не за что! Обращайтесь!
Вас заинтересует