Определиться с уравнением
Дам все баллы срочно!!!
Приложения:

vozilka:
тебе найти x и y ?
Ответы
Ответ дал:
0
Ответ:
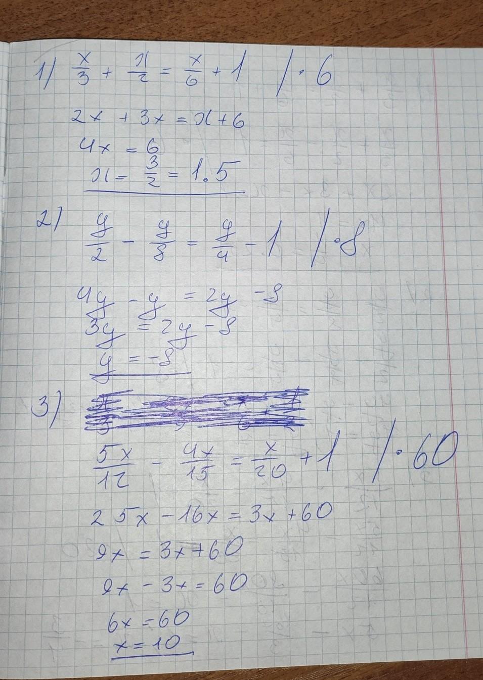
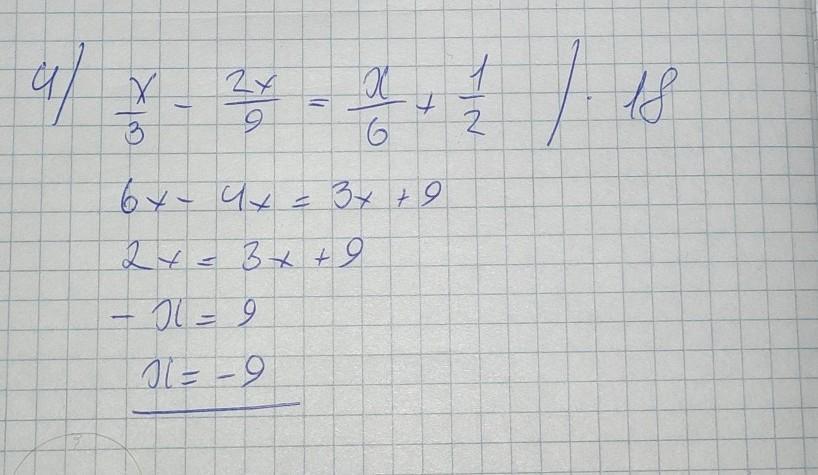
Третье уравнение
Пошаговое объяснение:
Ответ дал:
1
Ответ:
На фотке
Пошаговое объяснение:
Ну должно быть правильно
Приложения:


Вас заинтересует
1 год назад
1 год назад
1 год назад
3 года назад
8 лет назад