Ответы
Ответ дал:
1
ответ:
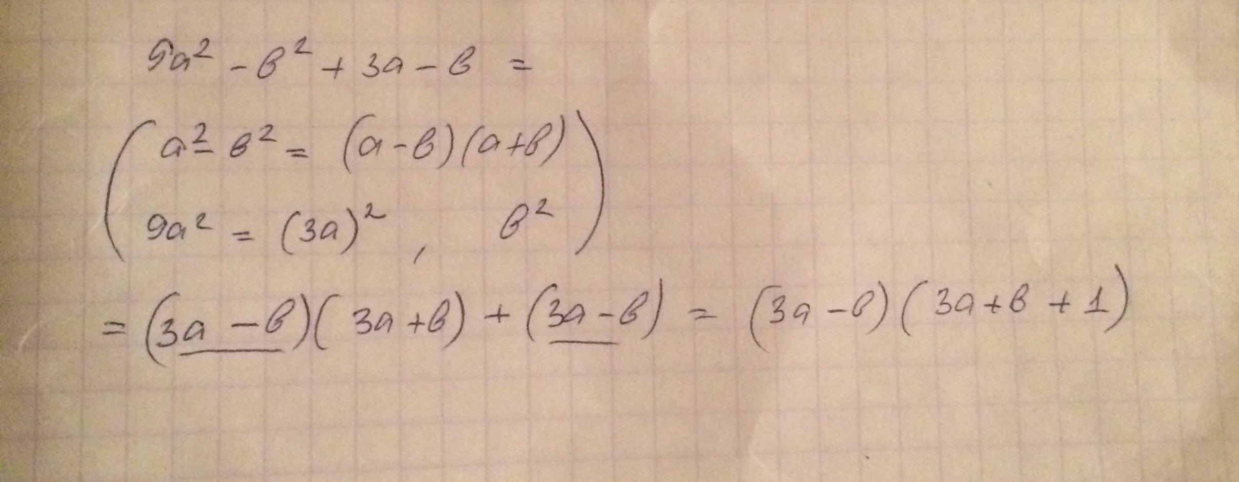
по формуле сокращённого умножения преобразовываем первую пару:
(3а-в)(3а+в)+3а-в
теперь выносим общий множитель (3а-в) за скобку:
(3а-в)(3а+в+1)
Ответ дал:
1
Ответ:
Объяснение: на фото
Приложения:

Вас заинтересует
1 год назад
1 год назад
3 года назад
8 лет назад