• Предмет: Алгебра
  • Автор: Katyyy333
  • Вопрос задан 2 года назад

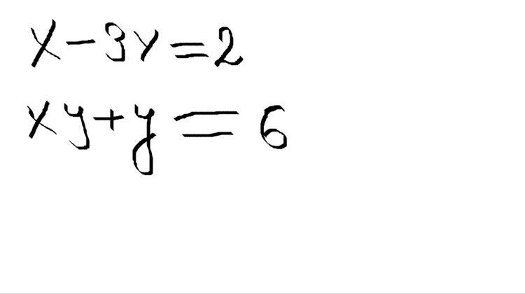
Решите систему уравнений

Приложения:

Ответы

Ответ дал: ins0209
1

Ответ:

Объяснение:

На фото

Приложения:
Вас заинтересует