• Предмет: Алгебра
  • Автор: elizavetafed06
  • Вопрос задан 2 года назад

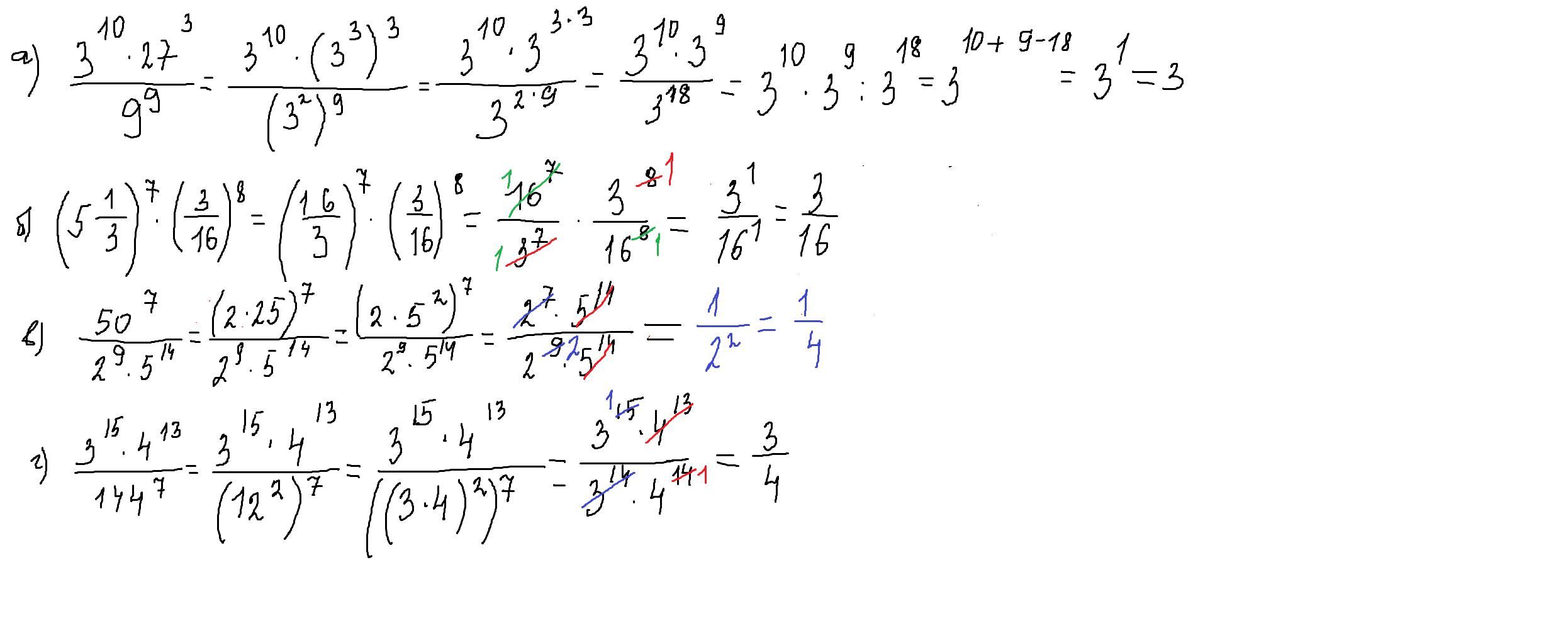
Решите пожалуйста номер 5 СРОЧНО!!!
Заранее спасибо))) ​

Приложения:

Ответы

Ответ дал: parus77
1

Ответ:

Объяснение:

решение внизу

Приложения:
Вас заинтересует