• Предмет: Математика
  • Автор: surayaibrahimzade
  • Вопрос задан 2 года назад

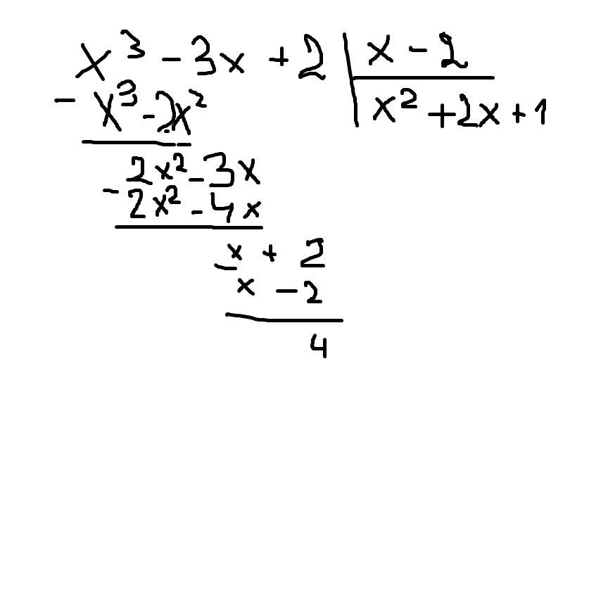
Разделите многочлен x³ – 3x + 2 на двухчлен x – 2.

Ответы

Ответ дал: HelperMath
1

Ответ:

Пошаговое объяснение:

Приложения:
Вас заинтересует