Ответы
Ответ дал:
0
Ответ: 1,8
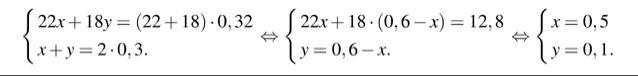
Пусть концентрация первого раствора - х, концентрация второго раствора - y. Составим систему уравнений согласно условию задачи:
«Фотография будет»
Таким образом, в первом растворе содержится 18*0,1=1,8 килограммов кислоты.
Пусть концентрация первого раствора - х, концентрация второго раствора - y. Составим систему уравнений согласно условию задачи:
«Фотография будет»
Таким образом, в первом растворе содержится 18*0,1=1,8 килограммов кислоты.
Приложения:

Вас заинтересует
1 год назад
1 год назад
1 год назад
1 год назад
3 года назад