[100 Б.]
Необходимо выполнить расчёт этих формул в одной программе.
Программа: Borland C++
Приложения:

Ответы
Ответ дал:
1
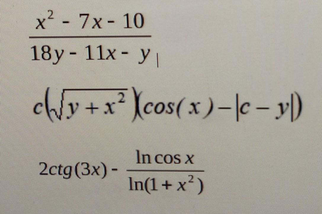
#include <iostream>
#include <math.h>
using namespace std;
int main() {
float x, y, c;
cin >> x >> y >> c;
cout << "1) " << (x*x - 7*x - 10) / (18*y - 11*x - y) << endl;
cout << "2) " << c * sqrt(y + x*x) * (cos(x) - abs(c-y)) << endl;
cout << "3) " << 2 / tan(3*x) - log(cos(x)) / log(1 + x*x) << endl;
return 0;
}
Аноним:
Спасибо большое, извините, что вчера не поблагодарил, особо некогда было..
Вас заинтересует
1 год назад
1 год назад
1 год назад
1 год назад
3 года назад