• Предмет: Математика
  • Автор: stellabambans
  • Вопрос задан 2 года назад

Срочно помогите пожалуйста 9 класс​

Приложения:

Ответы

Ответ дал: red310780
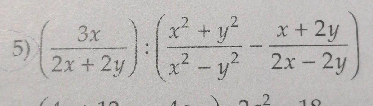
1

Ответ:

 \frac{3x - 3y}{x - 3y}

Пошаговое объяснение:

1) Разложить выражение на множители:

 \frac{3x}{2(x + y)}  \div ( \frac{ {x}^{2} +  {y}^{2}  }{(x - y) \times (x + y)}  -  \frac{x + 2y}{2( - y)} )

2) Записать все числители над наименьшим общим знаменателем:

 \frac{3x}{2(x + y)}  \div  \frac{2( {x}^{2} +  {y}^{2}  - (x + y) \times (x + 2y) }{2(x + y) \times (x - y)}

3) Раскрыть скобки и модуль:

 \frac{3x}{2(x + y)}  \div  \frac{2 {x}^{2} + 2 {y}^{2} - (x {}^{2}  + 2xy + xy + 2 {y}^{2} )  }{2(x + y) \times (x - y)}

4) Привести подобные члены:

 \frac{3x}{2(x + y)}  \div  \frac{2 {x}^{2} + 2 {y}^{2} - ( {x}^{2}  + 3xy + 2 {y}^{2})   }{2(x + y) \times (x - y)}

5) Раскрыть скобки:

 \frac{3x}{2(x + y)}  \div  \frac{2 {x}^{2} + 2 {y}^{2} -  {x}^{2}   - 3xy -  2{y}^{2}  }{2(x + y) \times (x - y)}

6) Сократить противоположные выражения. Привести подобные члены:

 \frac{3x}{2(x + y)}  \div  \frac{ {x}^{2}  - 3xy}{2(x + y) \times (x - y)}

7) Умножить на обратное значение:

 \frac{3x}{2(x + y)}  \times  \frac{2(x + y) \times (x - y)}{ {x}^{2}  - 3xy}

8) Вынести общий множитель за скобки и сократить дробь:

3x \times  \frac{x - y}{x \times (x - 3y)}

9) Сократить числитель и знаменатель дроби:

3 \times  \frac{x - y}{x - 3y}

10) Вычислить произведение:

 \frac{3(x - y)}{x - 3y}

11) Раскрыть скобки, выполнив умножение на 3:

 \frac{3x - 3y}{x - 3y}


stellabambans: спасибо
red310780: пожалуйста
Вас заинтересует