• Предмет: Математика
  • Автор: BlazeFlameULTRA
  • Вопрос задан 2 года назад

помогите с этими примерами​

Приложения:

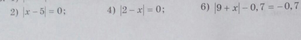
Ответы

Ответ дал: lmkrtchyanl
1

Ответ:

5-x=0

x-2=0

x=9+0.7-0.7

x=9

Вас заинтересует