• Предмет: Алгебра
  • Автор: Dimka2264
  • Вопрос задан 2 года назад

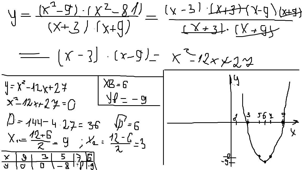
Постройте график функции и определите при каких значениях K прямая Y = K имеет с графиком Ровно одну общую точку​

Приложения:

Ответы

Ответ дал: os12112004
1

Ответ:

прямая у=к имеет 1 общую точку с графиком в у= -9

Объяснение:

парабола имеет бесконечные ветви,которые направлены в данном случае вверх.следовательно во всех точках,прямая у=к прямая параллельная оси Ох) будет иметь 1 общую точку с графиком в вершине данной параболы, то есть у= -9

Приложения:

Dimka2264: не могли бы вы помочь ещё с одним заданием?
os12112004: смотря с каким)
Dimka2264: перейдите там аналогичное заданием в моём профиле)
Вас заинтересует