• Предмет: Математика
  • Автор: JPobedinskiy
  • Вопрос задан 2 года назад

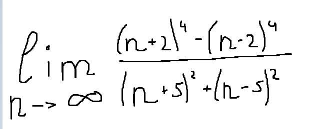
Решить предел(лимит), очень срочно, фото во вложениях

Приложения:

Ответы

Ответ дал: Аноним
0

Ответ:

+\infty

Пошаговое объяснение:

У многочлена сверху степень 3, у многочлена снизу - 2. Как известно, если степень числителя больше степени знаменателя то предел их отношения не существует.

Вас заинтересует