• Предмет: Алгебра
  • Автор: artiktikhonov
  • Вопрос задан 2 года назад

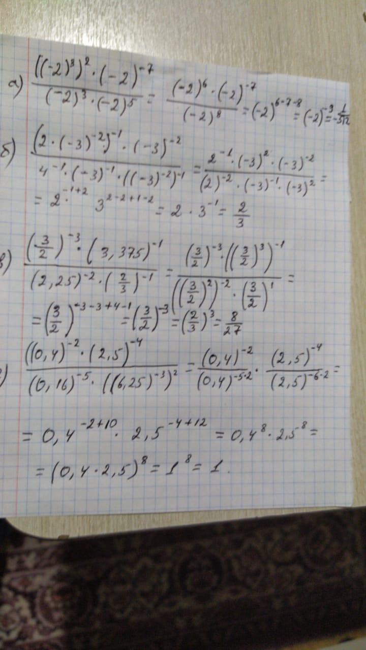
Первый номер
Срочноооо

Приложения:

Ответы

Ответ дал: terikovramazan
1

Ответ: приложено

Объяснение:

Приложения:

artiktikhonov: Спасибо , а не сможете ещё со 2 помочь ?
terikovramazan: пока нет времени, может попозже, если успею
Вас заинтересует