• Предмет: Математика
  • Автор: grisinakaterina6
  • Вопрос задан 2 года назад

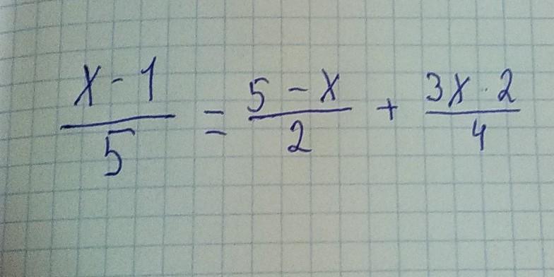
Решите уравнение ,даю 10 баллов!!!​

Приложения:

Ответы

Ответ дал: GetOtvet
1

Пошаговое объяснение:

Всё умножаем на 20 и сокращаем, получаем:

4(x-1)=10(5-x)+5(3x*2)

4x-4=50-10x+30x

-16x=54

x=-54/16

x=-3,375


GetOtvet: если перевести в десятичную дробь, то получится - 3,375
Вас заинтересует