• Предмет: Математика
  • Автор: slavkaxoxol
  • Вопрос задан 2 года назад

Решить неравенство методом рационализации ( Метод знакотождественных множителей).

Приложения:

Ответы

Ответ дал: axatar
1

Ответ:

x ∈ (1/6; 1/3)∪(1/2; 2/3)

Пошаговое объяснение:

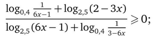
\frac{log_{0,4}\frac{1}{6*x-1}+log_{2,5} (2-3*x) }{log_{2,5}(6*x-1)+log_{0,4}\frac{1}{3-6*x}} \geq 0

Область допустимых значений:

6·x-1>0, 2-3·x>0, {log_{2,5}(6*x-1)+log_{0,4}\frac{1}{3-6*x}\neq 0

⇔ x>1/6, x<2/3, log_{2,5}(6*x-1)*(3-6*x)\neq 0

⇔ x∈(1/6; 2/3), (6*x-1)*(3-6*x)\neq 1 ⇔ x∈(1/6; 2/3), (3*x-1)²≠0 ⇔

⇔ x∈(1/6; 2/3), x≠1/3 ⇔ x∈(1/6; 1/3)∪(1/3; 2/3)

Решение:

\frac{log_{\frac{4}{10} }(6*x-1)^{-1}+log_{2,5} (2-3*x) }{log_{2,5}(6*x-1)+log_{\frac{4}{10} }(3-6*x)^{-1}} \geq 0

\frac{log_{\frac{10}{4} }(6*x-1)+log_{2,5} (2-3*x) }{log_{2,5}(6*x-1)+log_{\frac{10}{4} }(3-6*x)} \geq 0

\frac{log_{2,5 }(6*x-1)+log_{2,5} (2-3*x) }{log_{2,5}(6*x-1)+log_{2,5}(3-6*x)} \geq 0

\frac{log_{2,5 }(6*x-1)*(2-3*x) }{log_{2,5}(6*x-1)*(3-6*x)} \geq 0

\frac{log_{2,5 }(6*x-1)*(2-3*x) -log_{2,5 }1}{log_{2,5}(6*x-1)*(3-6*x)-log_{2,5 }1} \geq 0

Применим метод  знакотождественных множителей:

\frac{(6*x-1)*(2-3*x) -1}{(6*x-1)*(3-6*x)-1} \geq 0

\frac{15*x-18*x^{2}-2 -1}{24*x-36*x^{2}-3 -1} \geq 0

\frac{18*x^{2}-15*x+3}{36*x^{2}-24*x+4} \geq 0

\frac{6*x^{2}-5*x+1}{9*x^{2}-6*x+1} \geq 0

\frac{(3*x-1)*(2*x-1)}{(3*x-1)^{2}} \geq 0

В силу ОДЗ (3*x-1)²>0 и последнее неравенство равносильно неравенству:

(3*x-1)*(2*x-1)≥0 ⇔ x∈(-∞; 1/3]∪[1/2;+∞)

Тогда с учётом ОДЗ

x∈((1/6; 1/3)∪(1/3; 2/3))∩((-∞; 1/3]∪[1/2;+∞))=(1/6; 1/3)∪(1/2; 2/3)

Вас заинтересует