• Предмет: Алгебра
  • Автор: duumpl
  • Вопрос задан 2 года назад

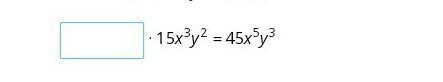
помогите подобрать одночлен​

Приложения:

Ответы

Ответ дал: theairo123p36g2v
1

Ответ:

3x²y

Объяснение:

Ответ дал: lyyysinda
1

Объяснение:

3x^2 y

☺☺☺☺

Вас заинтересует