• Предмет: Математика
  • Автор: KhapiPlay
  • Вопрос задан 2 года назад

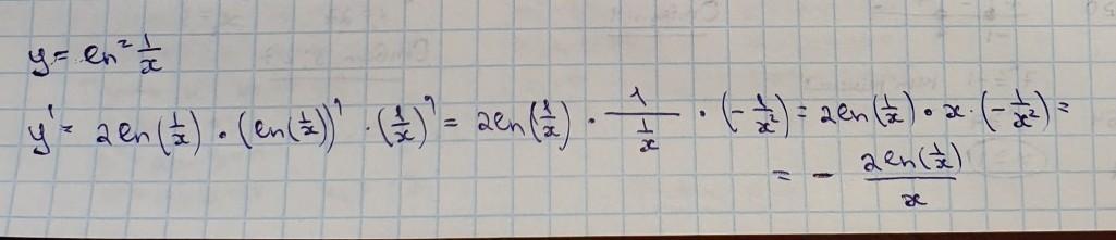
Помогите решить производную,буду благодарен

Приложения:

Ответы

Ответ дал: Miroslava227
0

Ответ:

решение на фотографии

Приложения:
Вас заинтересует