• Предмет: Алгебра
  • Автор: olyyaka
  • Вопрос задан 2 года назад

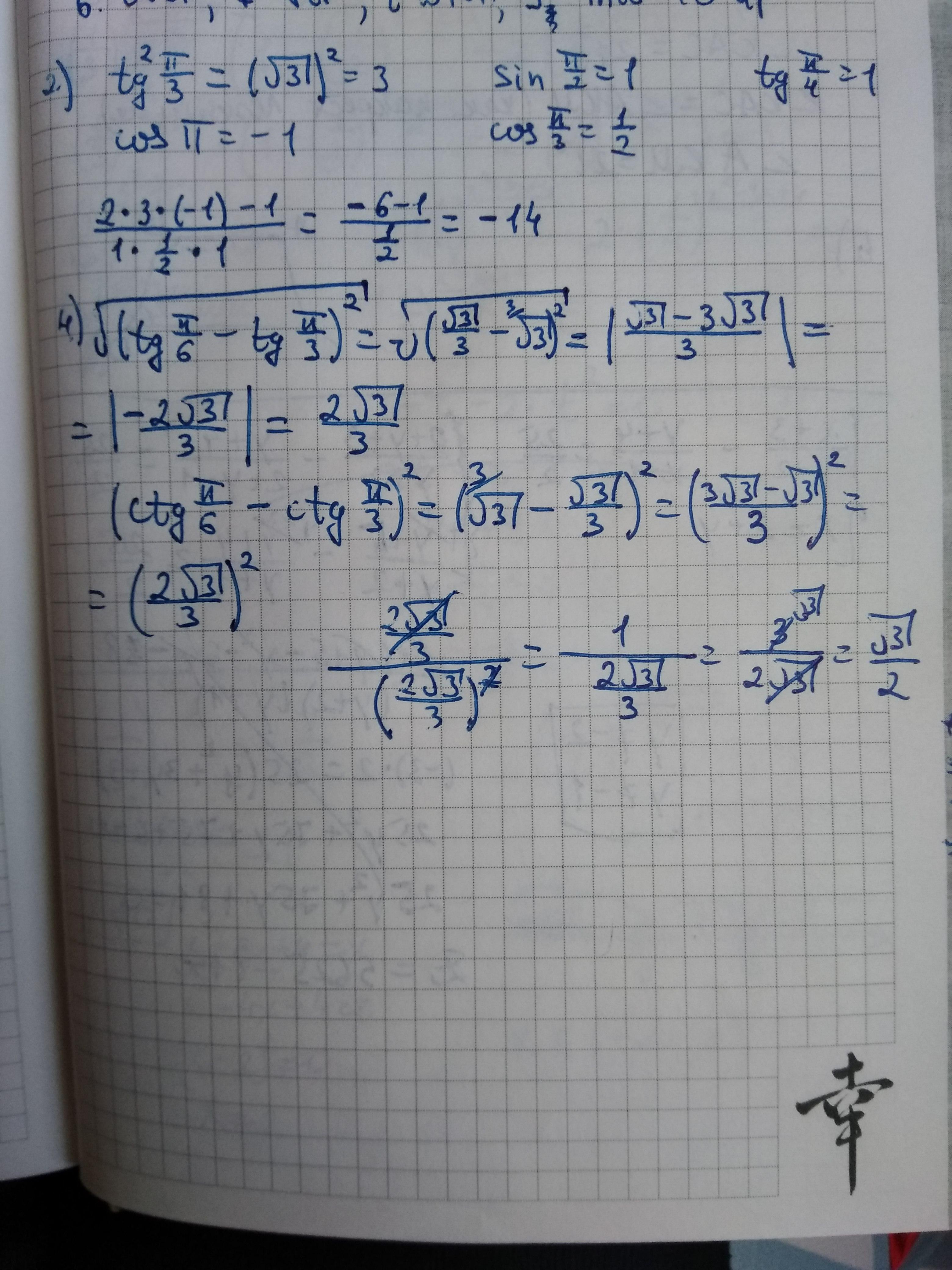
Найти значение выражения:
2) 2tg^2 πcosπ -1/sin π/2 cosπ/3 tgπ/4
4)√(tg π/6 - tg π/3)^2 / (ctg π/6 - ctg π/3) ^2

Приложения:

Ответы

Ответ дал: malikamiryakubova
0

Решение во вложении.

Приложения:
Вас заинтересует