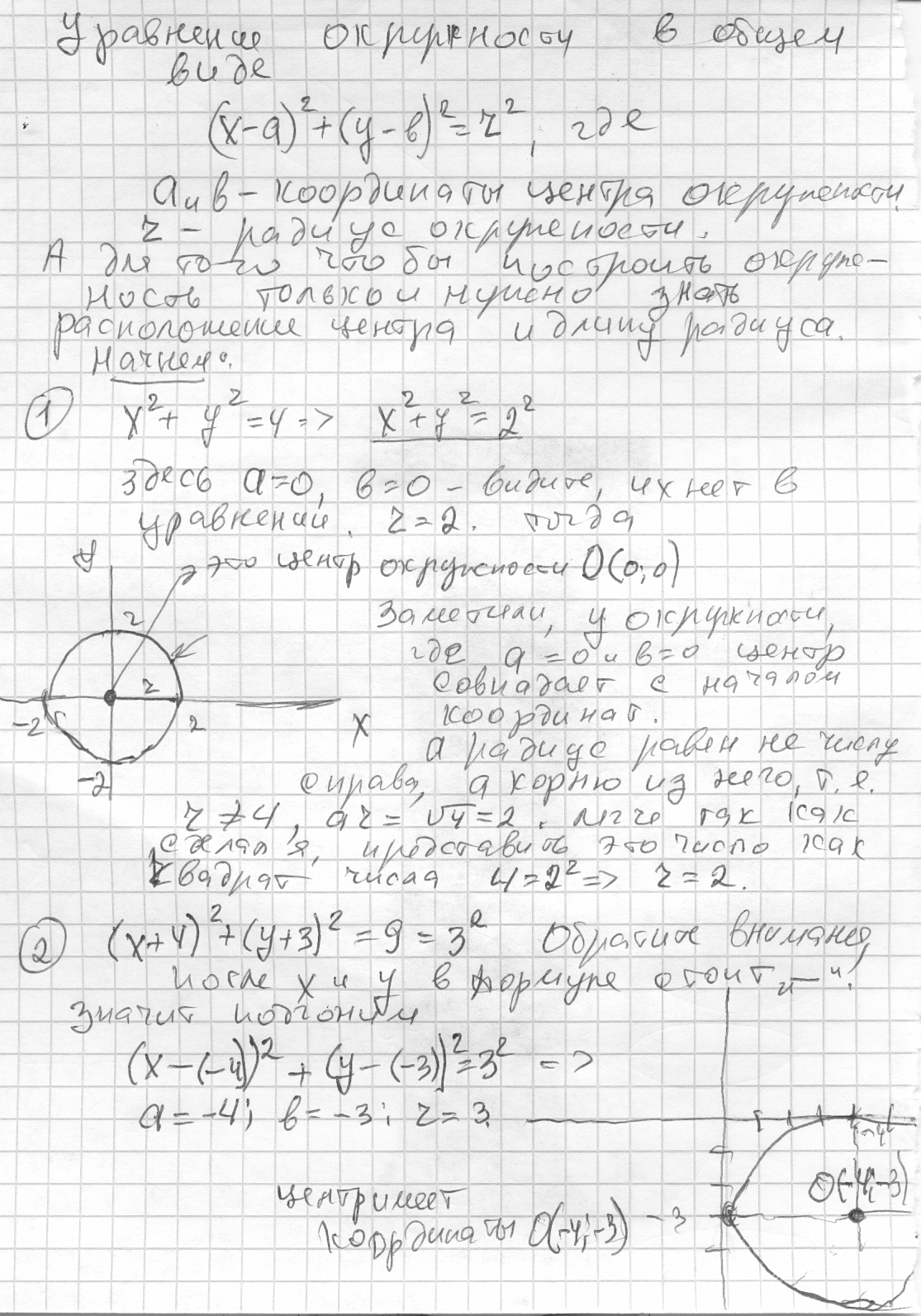
Начертить окружность заданную уравнением:
1. x2+у2=4
2. (х+4)2+(у+3)2=9
3. (х-1)2+(у+2)2=25
4. (х-5)2+(у-2)2=16
5. (х+3)2+(у-4)2=4
6. х2+(у-3)2=16
7. (х+5)2+у2=25
8. х2+у2=5
Ответы
Ответ дал:
0
Начертить окружность заданную уравнением:
Рассказал как это делать и показал пару примеров.
Рассказал как это делать и показал пару примеров.
Приложения:
Вас заинтересует
3 года назад
8 лет назад
8 лет назад
11 лет назад
11 лет назад