• Предмет: Математика
  • Автор: solodkovavaleria78
  • Вопрос задан 2 года назад

Решите, пожалуйста (найти производную)

Приложения:

Ответы

Ответ дал: gpkamil
1

Ответ:

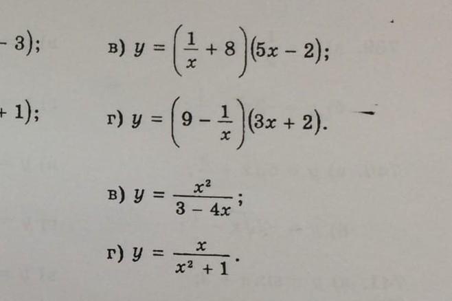
в) y=(1/x+8)(5x-2)=5-2/x+40x-16=40x-2/x-11

y'=(40x-2/x-11)=40-(-(2/x²))=40+2/x²

г) y=(9-1/x)(3x+2)=27x+18-3-2/x=27x-2/x+15

y'=(27x-2/x+15)'=27-(-(2/x²))=27+2/x²

в) y=x²/(3-4x) y'=?

y'=((x²)'(3-4x)-(x²)(3-4x)')/(3-4x)²=((6x-8x²)-(3x²-4x³))/(3-4x)²=(4x³-11x²+6x)/(3-4x)²

г) y=x/(x²+1) y'=?

y'=((x)'(x²+1)-x(x²+1)')/(x²+1)²=(x²+1-x³-x)/(x²+1)²

Пошаговое объяснение:

Вас заинтересует