• Предмет: Алгебра
  • Автор: anaconda72
  • Вопрос задан 2 года назад

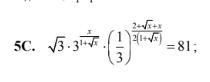
Показательное уравнение

корень из 3 * 3 в степени х\1+ корень из х * 1\3 в степени 2+ корень из х+х \2(1+корень из х) =81
ответ :81. приведите решение,пожалуйста

Приложения:

Ответы

Ответ дал: Evgenia4836
0

Решение во вложении:

Приложения:

anaconda72: спасибо!скажите пожалуйста,какое свойство вы применили разлагая х-8корень из х-9=0?
nigarqafarova83: Я просто его разделил и написал но 9 минус 0 икс равно минус икс минус 0 равно 9 и всё получилось у меня ответ
Evgenia4836: разложение на множители. -8 можно представить как -9+1
Evgenia4836: как удобнее. можно было корень из x заменить t и решить через дискриминант или теорему Виета как квадратное уравнение
Вас заинтересует