• Предмет: Алгебра
  • Автор: mamedovagulnaz99
  • Вопрос задан 2 года назад

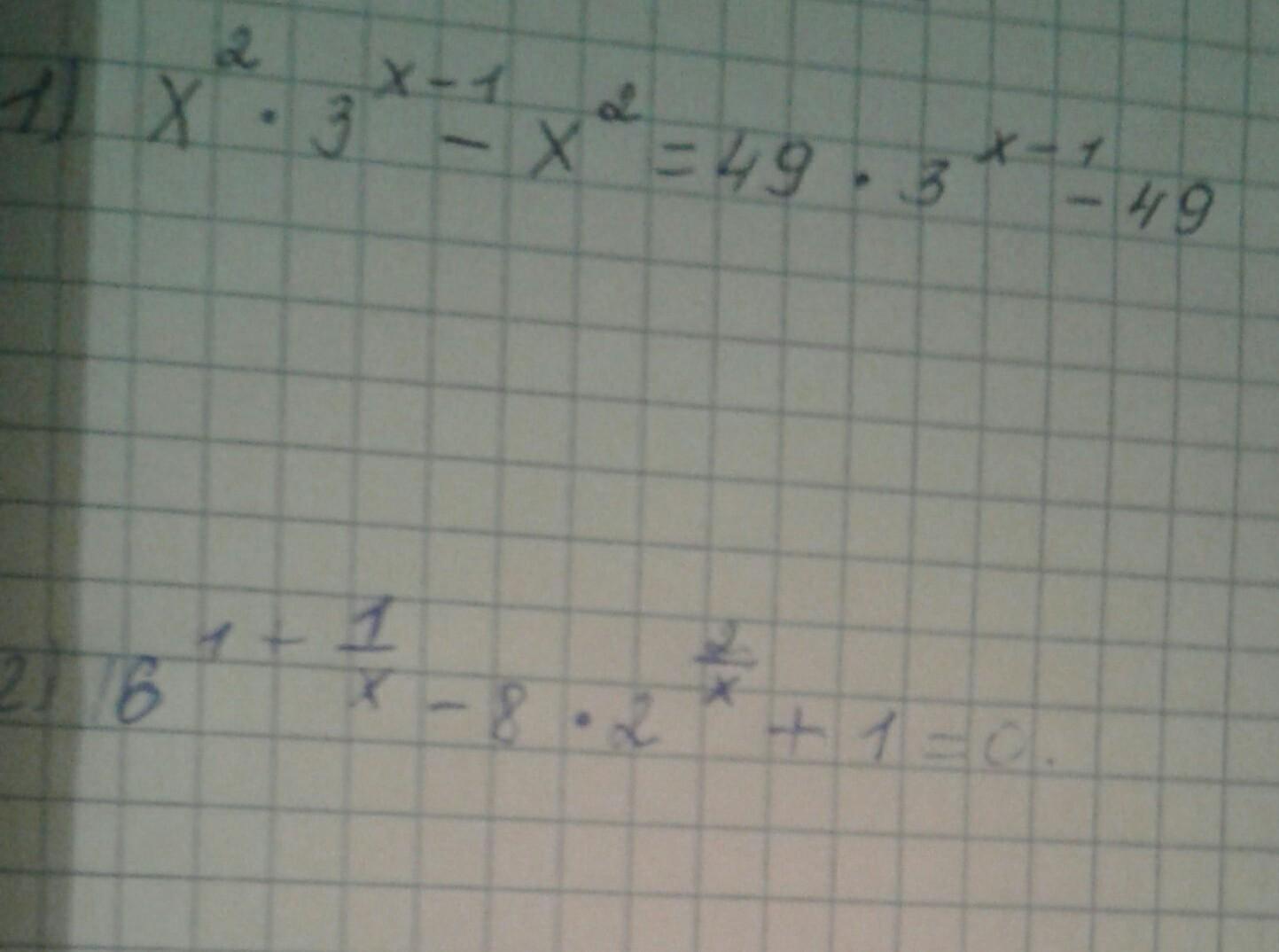
помогите пожалуйста срочно надо ​

Приложения:

Ответы

Ответ дал: Evgenia4836
0

x^2(3^{x-1}-1)=49(3^{x-1}-1)

(x-7)(x+7)(3^{x-1}-1)=0

x1= 7, x2= -7

3^(x-1)=1

3^(x-1)=3^0

x-1=0

x3= 1

Вас заинтересует