• Предмет: Алгебра
  • Автор: Аноним
  • Вопрос задан 2 года назад

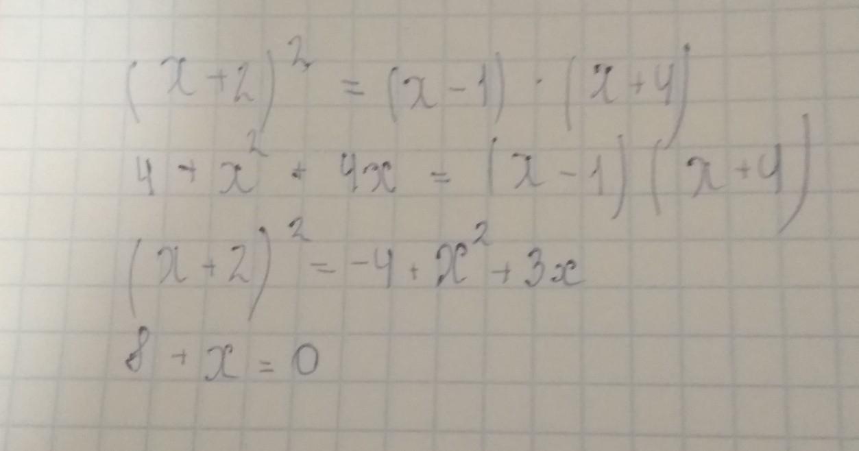
Я правильно решил? ​

Приложения:

Ответы

Ответ дал: gilimikombatru
0

Ответ:

нет, в левой части уравнения вывел формулу не так там должно быть 4+4х²+х²

Вас заинтересует