• Предмет: Математика
  • Автор: ria2015
  • Вопрос задан 2 года назад

Помогите решить пожалуйста!!!

Приложения:

Ответы

Ответ дал: lapinvitya
0

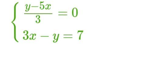
\begin{equation*} \begin{cases}\frac{y-5x}{3}=0\\3x-y=7 \end{cases}\begin{cases}y-5x=0\\-3x+y=-7\\ \end{cases}\begin{cases}y-5x=0\\y=3x-7\\ \end{cases}\end{equation*}

\begin{equation*}\begin{cases}3x-7-5x=0\\y=3x-7\\ \end{cases} \begin{cases}-2x=7\\y=3x-7\\ \end{cases} \begin{cases}x=-3,5\\y=3\cdot(-3,5)-7\\ \end{cases}\begin{cases}x=-3,5\\y=-17,5\\ \end{cases}\end{equation*}

Вас заинтересует