• Предмет: Алгебра
  • Автор: perepalka
  • Вопрос задан 2 года назад

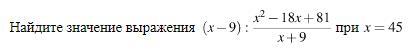
Решите пожалуйста :)

Приложения:

Ответы

Ответ дал: rexwelzpro
1

Объяснение:

(x - 9)  \div  \frac{ {(x - 9)}^{2} }{x + 9}

 \frac{x + 9}{x - 9}

при x = 45

 \frac{54}{36}  = 1.5

Ответ дал: lakOR555
1

Сначала упростим

(Х-9)/1 * (х+9)/(х-9)² = (х+9)/(х-9)

Если х=45, то (45+9)/(45-9) = 54/36 = 6/4 = 3/2 = 1,5

Вас заинтересует