• Предмет: Алгебра
  • Автор: YCHENIK1znanija1com
  • Вопрос задан 2 года назад

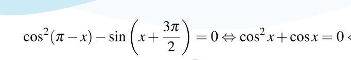
-cos^2(x)=cos^2(x) верно?
или как обяснить

Приложения:

Ответы

Ответ дал: dignior
0

Ответ:минус умножить на минус = плюс. Так объяснить)

Объяснение:


YCHENIK1znanija1com: Вы не поняли, по формулам приведения, cos(pi-x)=-cosx, а тут почему то из cos^2(pi-x) получается cos^2 x
Ответ дал: m11m
1

Ответ:

Объяснение:

!!!!!!!!!!!!!!!!!!!!!!!!

Приложения:

YCHENIK1znanija1com: спасибо!
Вас заинтересует