• Предмет: Математика
  • Автор: hayk87
  • Вопрос задан 2 года назад

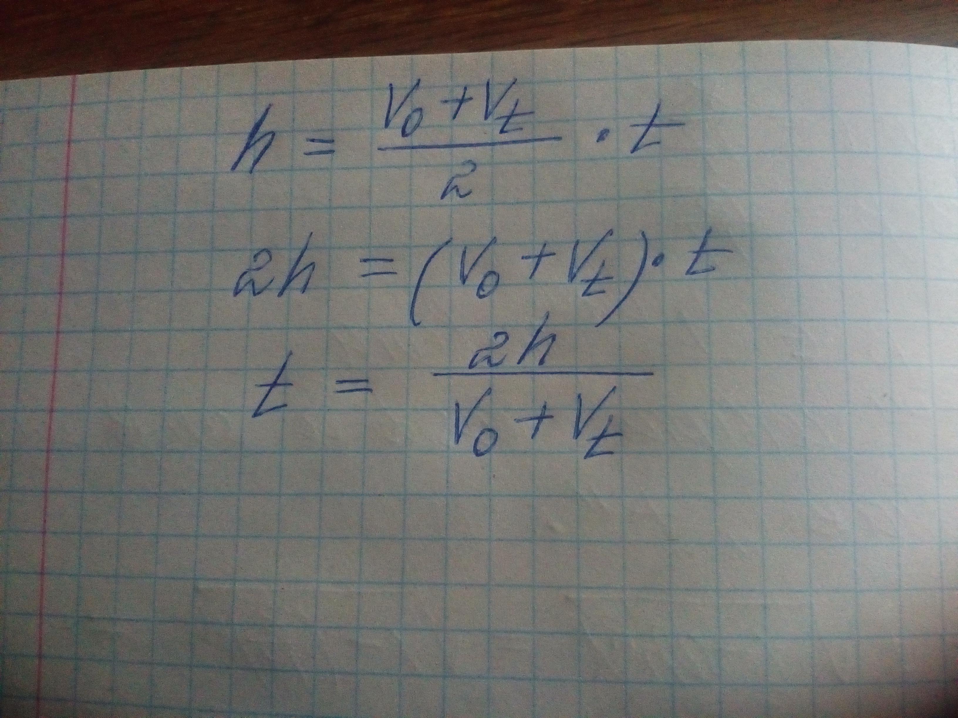
Нужно из этого формули делать формулу для t

Приложения:

Ответы

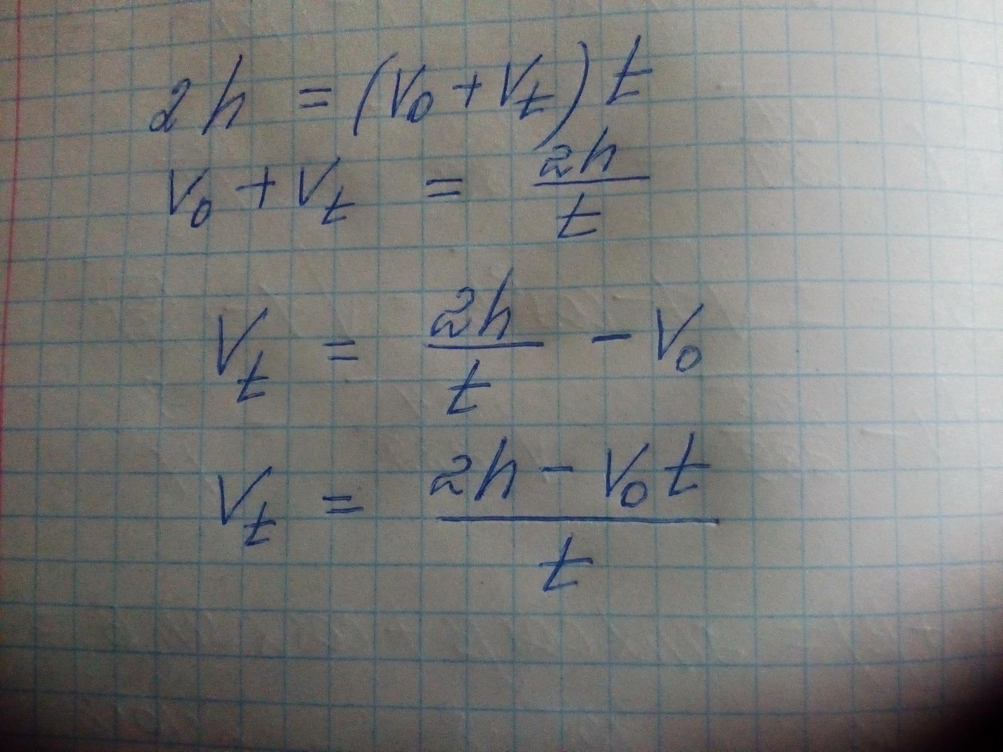
Ответ дал: m11m
0

Ответ:

Пошаговое объяснение:

!!!!!!!!!!!!!!!!!!!!!!!!!!!

Приложения:

hayk87: Спасибо а как найти из этой формули Vt
dasew12: Здравствуйте. помогите пожалуйста https://znanija.com/task/34073332?answeringSource=feedPersonal%2FhomePage%2F2
m11m: Обновите страницу. Добавлено ещё фото.
hayk87: Спасибо большое
Вас заинтересует