Ответы
Ответ дал:
0
Ответ:
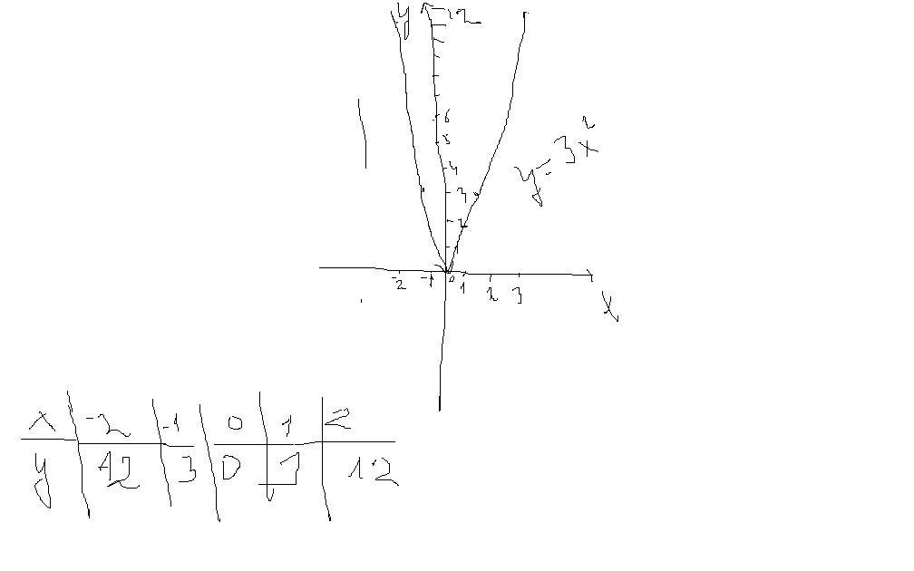
y=3x^2 это парабола вместо х подставим -2 ,значит у= 3*(-2)^2=3*4=12 при х=-2 у=12 при х=-1 у =13 при х=0 у=0; при х=1 у=3; при х 2 у=12
Объяснение: во вложениях чертеж
Приложения:

Вас заинтересует
1 год назад
1 год назад
1 год назад
1 год назад
3 года назад
3 года назад
8 лет назад