• Предмет: Химия
  • Автор: alankemov
  • Вопрос задан 2 года назад

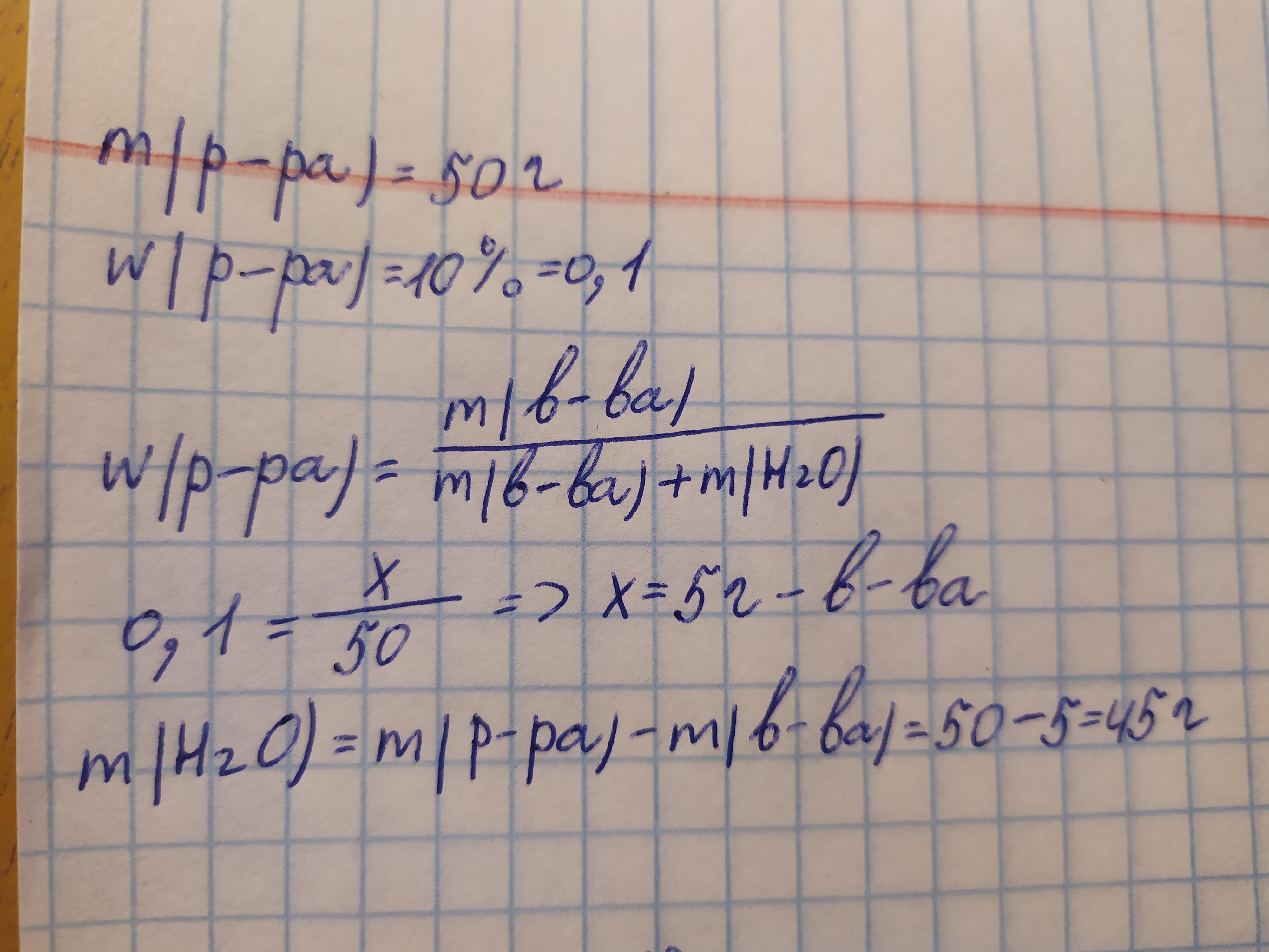
приготовьте раствор массой 50 г , если его концентрация 10%
СРОЧНА ПЖПЖПЖПЖПЖ​

Ответы

Ответ дал: holmskaja
0

То есть понадобится 5 г - вещества и 45 г воды или другого растворителя!

Приложения:
Вас заинтересует