• Предмет: Математика
  • Автор: azshelont
  • Вопрос задан 2 года назад

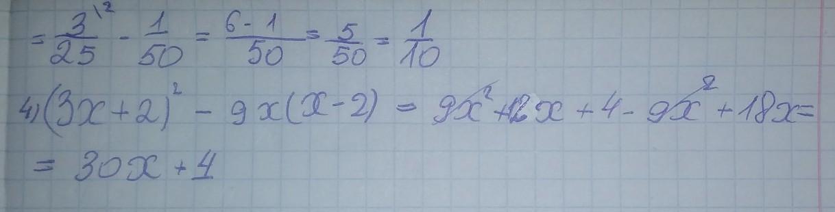
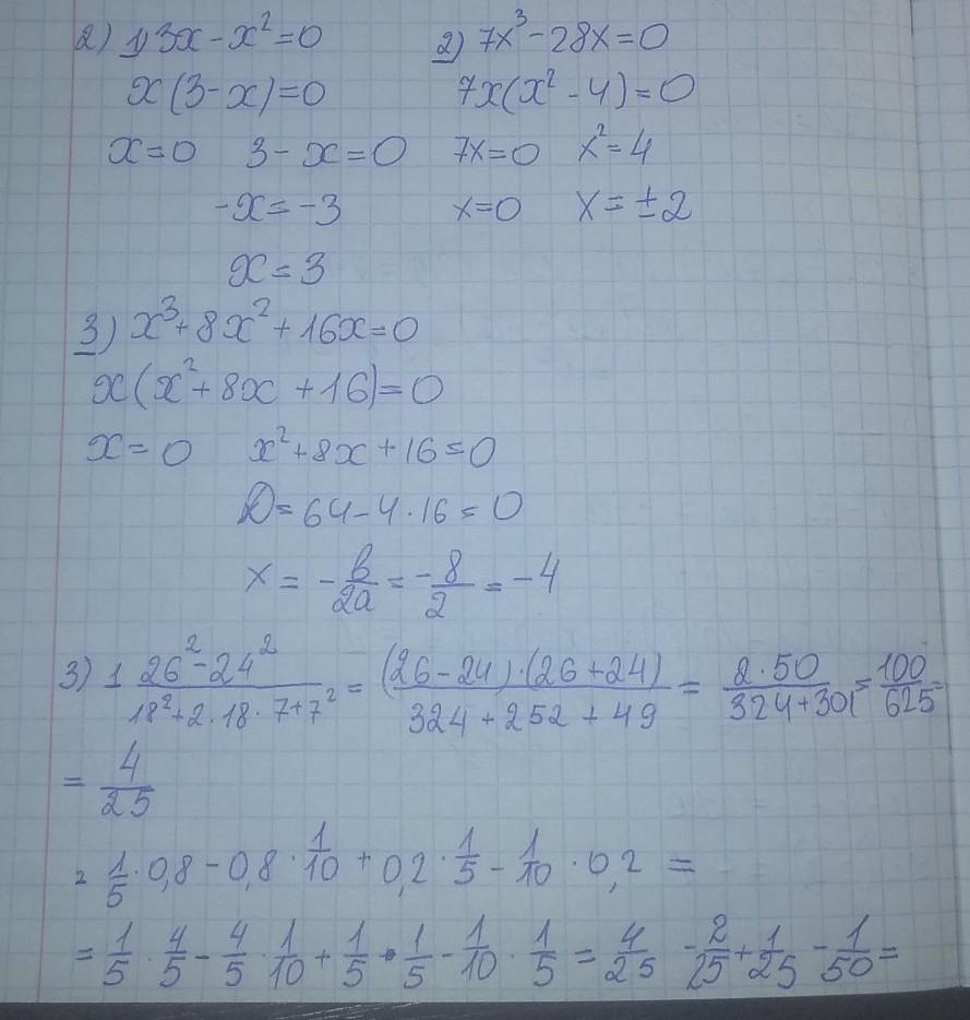
Решите 2,3,4 (пятое не надо) даю 60 баллов

Приложения:

Ответы

Ответ дал: stas0107
1

Ответ:решение на фото

Пошаговое объяснение:

Приложения:
Ответ дал: evgenrubalko11
0

Все решения на фотографиях;)

Приложения:
Вас заинтересует