• Предмет: Математика
  • Автор: Аноним
  • Вопрос задан 2 года назад

СРОЧНО! Не понимаю задания, пж, помогите!!!Только номер 965.

Приложения:

Ответы

Ответ дал: nmd2005
0

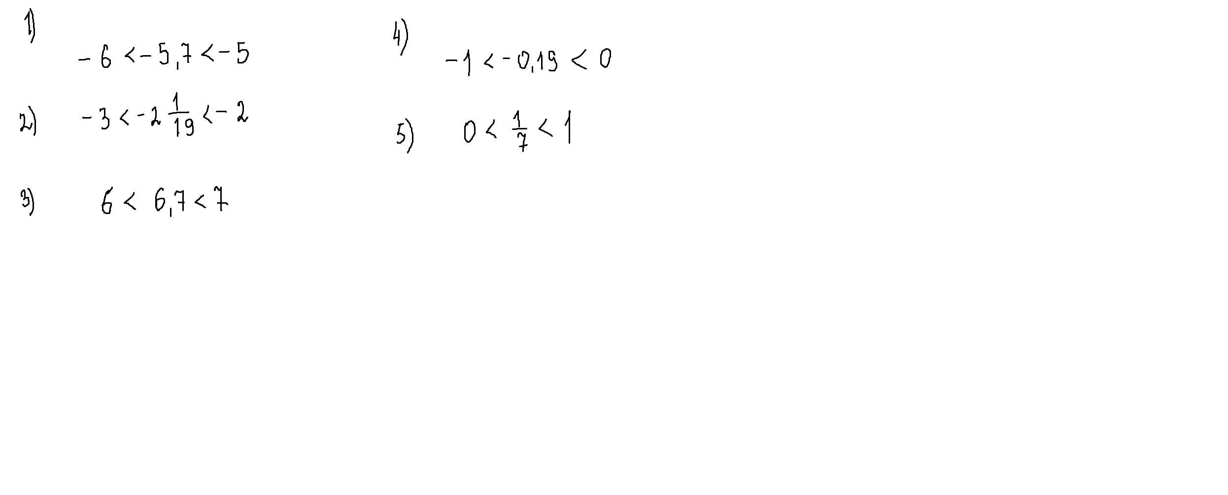
Ответ:1)-6 и -5

2)-3 и -2

3)-4 и -3

4)-1 и 0

5)0 и 1

Пошаговое объяснение:

Ответ дал: parus77
1

Ответ:

Пошаговое объяснение:

смотри внизу

Приложения:
Вас заинтересует