• Предмет: Математика
  • Автор: Матрёночка
  • Вопрос задан 2 года назад

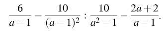
Упростите выражение:

Приложения:

m40a: А скобок в выражении нигде нет?

Ответы

Ответ дал: papagenius
1

Ответ:

Пошаговое объяснение:

\displaystyle\[\frac{6}{{a-1}}-\frac{{10}}{{{{(a-1)}^2}}}\div\frac{{10}}{{{a^2}-1}}-\frac{{2a+2}}{{a-1}}=\boxed{-3}\]

\displaystyle\[1)\;\;\frac{{10}}{{{{(a-1)}^2}}}\div\frac{{10}}{{{a^2}-1}}=\frac{{10}}{{{{(a-1)}^2}}}\cdot\frac{{{a^2}-1}}{{10}}=\frac{{10\cdot(a-1)\cdot(a+1)}}{{{{(a-1)}^2}\cdot10}}=\frac{{a+1}}{{a-1}}\]

\displaystyle\[2)\;\;\frac{6}{{a-1}}-\frac{{a+1}}{{a-1}}=\frac{{6-(a+1)}}{{a-1}}=\frac{{6-a-1}}{{a-1}}=\frac{{5-a}}{{a-1}}\]

\displaystyle\[3)\;\;\frac{{5-a}}{{a-1}}-\frac{{2a+2}}{{a-1}}=\frac{{5-a-(2a+2)}}{{a-1}}=\frac{{5-a-2a-2}}{{a-1}}=\frac{{3-3a}}{{a-1}}=\frac{{3(1-a)}}{{a-1}}=\frac{{-3(a-1)}}{{a-1}}=-3\]

Вас заинтересует