• Предмет: Алгебра
  • Автор: AnderiLety4uu
  • Вопрос задан 2 года назад

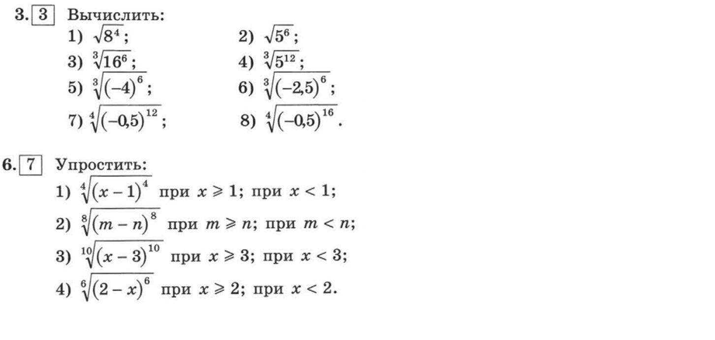
вычисление корней ( 9 класс ) , даю 60 баллов

Приложения:

Ответы

Ответ дал: rusalkazhagalshina07
0

Ответ:

Вычислить:                

  1. 64
  2. 125
  3. 12288
  4. 46875
  5. 192
  6. 375/8
  7. 1/16
  8. 1/64

Только это пока что.

Вас заинтересует