• Предмет: Алгебра
  • Автор: IvanLovt
  • Вопрос задан 2 года назад

Дам 100 кто решит полностью!!!
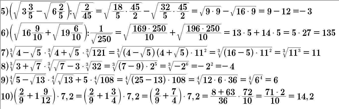
5-10

Приложения:

Ответы

Ответ дал: borysovaanna0408
0

очень долго делала,удачи

Приложения:

IvanLovt: ЕМА ТЫ МОЗГ,КРАСАВА
borysovaanna0408: если,че не понятно,пиши(просто быстро писала)
IvanLovt: ДА не все четко
Ответ дал: tamarabernukho
1

Ответ:

Объяснение:

-------------------------------------

Приложения:
Вас заинтересует